费马大定理的基本证明路径,我差不多摸透了,但并不能说完全看完,因为其内部应该还包括几个数学领域的重要定理。数学学习的基本思想是先建立基本的数学认知,无聊之时再去看看一些零散的定理是怎么证明的,数学一个重要的作用是建立正确的直觉,在数学的某个领域中,当你感觉应该是这样,并且已经有定理来验证的时候,这个领域也学得差不多了。不讲更多数学方法论的东西了,不过我们应该要清楚一点,数学的定理是十分多的,每个定理都一一地去看证明的话,是十分消磨学习热情的。

上篇

旅行的起点

费马大定理即,当n>2时方程

没有非零整数解。当然n必须要求是整数,当n为2时方程是有整数解的即勾股数,在直角三角形中可以很容易地找到解,当n为3和4时使用的方法都是无穷下降法,即假设存在解,然后找到了一个更小的解,因为整数是不可能无限地变小的,所以方程没有非零整数解,大概就是这么一个流程。实际上,费马大定理的证明也包含了无穷下降的思想在里面,接下来我们需要考虑的是n为不小于5的素数的情况,素数情况没有非零整数解通过反证法足以推出所有不小于5的整数的情况。素数和不超过5在后面的证明中都是需要的,稍微整理一下,我们只需要证明下面方程

当p>4为素数时,其没有abc=0以外的整数解。移项基于p为奇数的事实,但也没什么深刻的含义,只是觉得这样好看一些,并且此时a,b,c没有任何区别。真正的用处体现在Frey曲线的构造,下面形式的曲线

并且要求a≡3(mod 4)和2|b(即b为偶数)。对这个曲线我们的疑惑应该有很多,令y=0此时曲线是关于x的三次方程,最开始我们要对方程形成一个共识,a,b,c要么相同都是0,要么一个为0另外两个为相反数,要么互不相同,从方程的对称性也是可以发觉的,这表明了如果费马大定理成立的话,曲线右边关于x的方程只有一个三阶零点0,反之费马大定理不成立的话,应该存在非零的a或b或c使得曲线右边关于x的方程没有重根。a,b,c互相对称选谁都是无所谓的,重要的是下面的两个约束条件,其目的实际是为了a,b,c区分出来。由于方程的右边为0,因此a,b,c要么都是偶数,要么一个偶数两个奇数,对于前一种情况,可以通过提取偶数部分的公因子化为后一种情况,而且这两个奇数必需一个mod4余1一个mod4余3,a,b,c谁占据这三个位置(mod4余3,偶数,mod4余1)都可以,而我们要求如上面所示。Frey曲线的一个精妙之处是去除部分,使用x来代替,如果像下面这样构造Frey曲线

也可以通过是否重根来区分非零解的情况,但这样会使得方程多了一个参数关联的约束条件而且提取信息时少了个条件,即a,b,c相同时一定为0,所以将替换为x+0是一个明智之举,并且此时a和b可以互相独立不存在互相的约束关系,而选择一奇一偶的原因是为了防止方程存在的第二种情形,此时为零,互为相反数,曲线右边的方程有一个二重根,至于a,b自身内在约束主要为了尽可能增加a,b的更多条件以便于证明,如果a,b过于自由,只有整数的约束的话,条件少所能证明的东西也少,对于挖掘数学对象的精细结构是十分不利的。我们或许还有一个疑问为什么曲线不写成以下形式

从当前并看不出其中的原因,等我们到后面的计算才能看出其原因。我们总结一下费马大定理到目前化归为证明一下定理,不存在以下曲线

并且要求a≡3(mod 4),2|b(即b为偶数)和右边关于x的方程没有重根。为了方便我们把上面的曲线称为Frey曲线,于是我们只要证明不存在Frey曲线即可。很多科普费马大定理证明的,对Frey曲线基本就是一笔带过,搞得一切好像都很自然,这也是我不满意的一点,当然很多人都喜欢拿原始的方程并且以正整数解来说事,这样没错,但放在费马大定理的证明里,更多的是令人感到莫名其妙。如果有人说没有整数解,那完全就是在胡扯了,(0,0,0)和(0,a,a)就是一组很明显的解。

椭圆曲线

椭圆曲线严格上应该是射影空间上的东西,但为了便于理解,我们通常考虑的是椭圆曲线在仿射空间上的形式,即欧式坐标下的方程。仿射空间和射影空间其实完全可以以一种等价的方式来看到,仿射空间+无穷远点=射影空间。如果你可以接受在我们通常的笛卡尔坐标下加上一个无穷远点,那么直接考虑椭圆曲线的仿射形式也是无所谓的;如果你觉得无穷远点缺乏数学上的严谨性,那么只能不得不从射影空间寻找其合理性了。射影空间的基本思想是使用齐次坐标等价类来代替通常意义下的笛卡尔坐标,如二维笛卡尔坐标(1,2),可以表示为射影坐标(1,1,2),(2,2,4),(3,3,6)等等,它们的特点是差一个常数倍,于是它们可以组成一个等价类[(1,1,2)]={(x,y,z)∈R³|(x,y,z)=λ(1,1,2)},这样对于平面上任意一点(x,y)都可以在射影空间中找到一个等价类[(1,x,y)]与之对应,此时我们可以令无穷远点与[(0,a,b)]对应,这样在射影空间中无穷远点就可以由严格的算术理论了,而对于我们而言考虑仿射空间就足够理解了。
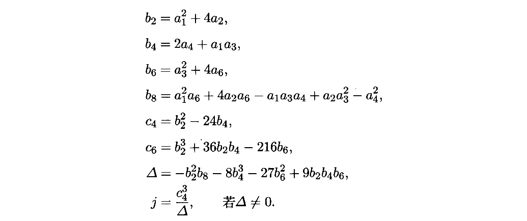
首先我们定义Weierstrass方程如下

和一系列可以计算出的量

Weierstrass方程的目的是为了定义任意域上的椭圆曲线,虽说模性定理指明了有理数域Q上的椭圆曲线,但证明过程却用到了其它域上的椭圆曲线,所以我们需要更深入地考虑各种域上的椭圆曲线。当我们说域K上的椭圆曲线指的是其系数属于域k且Δ≠0,至于(x,y)是怎么取点的,如何包含无穷远点,我们先不考虑。我们考虑到不同的方程可能会定义拥有同样性质的曲线,所以我们需要考虑不同Weierstrass方程间的线性变换,减少不必要的方程形式,其就是下面定义的允许变换,其本质是保持方程形式的仿射变换

如果两个椭圆曲线的Weierstrass方程可以通过允许变换互相转化的话,则称这两个椭圆曲线是同构的。如果不考虑特征为2的域,那么所有的Weierstrass方程都可以通过允许变换化为以下形式

如果进一步不考虑特征为3的域,则我们有以下形式

过程并不难,第一步对y进行配方即可,此时出现2,所以只有域的特征大于2才能进行,第二步则是解三次方程常用的一步消二次项的方法,会出现3,所以只有域的特征大于3才能进行,有时为了方便讨论,我们将上述方程转化为下面的形式

此时,如果你熟悉三次方程的话就会发现它其实是右边关于x的方程没有重根的充要条件,所以我们之前所说的Frey实际可以认为是椭圆曲线,为什么椭圆曲线会有一个三次方程没有重根的条件,其实主要目的是为了保证曲面的光滑性,不过嘛,我们可以从另一个方面来看待它。接下来我们讨论复数域C上的椭圆曲线,且(x,y)的取值为复数,还包括无穷远点,此时椭圆曲线或许不是线而是“面”了。
我们采用正向构造的方法,考虑复数域C的子集,如果在复平面中画出这些点的话,∧实际是一系列格点,所以我们称∧为一个。在格的基础上我们可以定义C中元素的等价关系,如果a,b∈C满足a-b∈∧,则称a与b关于∧同余,它是一个等价关系,于是我们可以定义一个等价类集合C/∧={z+∧|z∈C}。
实际上,可以在C/∧上构造一个复结构,使其变成一个亏格为1的紧黎曼曲面,有关实流形和复流形的东西真要讲起来东西太多了,目前我们只研究复流形,它也是一个实流形但性质更强,而且我们只研究一维复流形,即黎曼曲面。更有甚者,我们研究的一维复流形基本都是从复数域C关于某个等价关系导出的,根据黎曼曲面的分类定理即单值化定理,黎曼曲面只有五种类型,我们所研究的是紧黎曼曲面,那么就更简单了,球面(亏格为0)、环面(亏格为1)和亏格大于1的曲面。我们来思考一下为什么C/∧会是一个环面呢?准确来说,我们其实是依据环的一些性质,将C/∧视为了一个环面,C/∧可以看成由所夹成的平行四边形区域,到达边界的时候,通过等价关系因而从另一边回来,在环面上可以找到两条不能互相转化且不能缩为一点的回路,在C/∧也是同理的,我们说的其实就是闭曲面的基本群,但C/∧比三维空间里的环面是更加本质的。三维会给我们一种错觉,让我们误以为环面是一个三维的实体,但环面应该是一个二维面,应该从二维的本质去认识环面,而复平面就是一个很好的载体。
我们给出环面C/∧上函数的定义,简单来说就是在同余点处函数值相同的函数,显然这样的函数是一个双周期函数,其周期的基由格的两个参数给出,实际上,我们将C/∧上的亚纯函数称为椭圆函数。我们将格∧写成如下形式,基于此此我们构造一个Weierstrass函数

它的许多性质在概述中就没必要说了,比如右边的级数是收敛的、洛朗级数展开、取值等。

通过洛朗级数可以得到此函数满足的一个方程

而且对应函数方程还有一个特殊点取值的性质

我们来总结一下,对于一个格我们可以定义一个Weierstrass函数,通过这个函数及其导数,我们可以将C/∧映射到一个C上的椭圆曲线,当椭圆曲线补上无穷远点,我们就可以建立一一对应的关系

所以C/∧可以视为C上椭圆曲线,另一个问题C上椭圆曲线都可以视为一个环C/∧吗?我们只考虑等价椭圆曲线类的一个代表元有两个参数,而也是两个参数,所以感觉上应该可以互相找到的,也确实如此,证明的过程基于函数是满射,我们知道有这么一回事就行了。或许比较令人惊奇的一点是,Weierstrass函数的一个特殊点取值的性质,正好对应了椭圆曲线中没有重根的要求。至此我们应该有这样一个认知,C上的椭圆曲线就是一个复环面,环面的亏格为1,所以我们说C上的椭圆曲线亏格为1。亏格在数学上有严格的定义,但最形象地理解就是曲面上洞的个数,稍微严谨一点就是,最多几个面上的闭曲线不会将曲面分割成两个部分,比如球面任意一个闭曲线都会将球面分为两个部分,所以亏格为零。
我们继续讲C上的椭圆曲线,我们通过同构进行了第一次分类,排除了方程形式对椭圆曲线的影响,并且此时可以唯一的找到一个复环面C/∧与之对应。熟悉黎曼面知识的人应该知道,对于紧黎曼曲面,亏格为0时一定解析同构于球面,亏格为1时一定解析同构于环面,但环面之间却不一定解析同构,而任意两个环面解析同构的条件是

这个定理包含了全纯映射的情况,而我们探讨的实际上是最后一部分即可逆的情况。换言之一个格可以通过乘以一个复数得到另一个格,那么它们生成的复环面就是解析同构的,用几何的观点来看就是,格进行了旋转和缩放两种变换,为什么没有平移?这需要考虑环面上的群结构了,对环面上的两个点,我们定义加法就是对应等价类中代表元的加法,可以证明C/∧关于此运算可以形成一个加法群,于是两个环面之间的全纯同态可以诱导一个群同态,并且有如下性质

平移存在两种情况,一种是格点到格点,其本质就是乘一个复数,但格点和非格点间的平移,不能满足群同态的基本性质,即单位元到单位元。当然了,我们只需遵循这样的直觉即可,两个环面解析同构意味着它们的格差一个非零复数,我们将解析同构的环面称为是同源的,必需指出的是这里解析同构和同源正好一样只是一个巧合,对于高维的复环面还有其它的定义,进一步两条椭圆曲线对应的复环面同源,则称这两个椭圆曲线同源。我们能找到所有的同源等价类吗?实际就是对格的两个参数做文章,首先我们运用除法进行第一步变形其中的是上半平面中的一点,但这样的不能完全区分同源,首先我们有下面的定理

在这里我们第一次见到了完全模群,此群可以作用与一对复数,实际也可以作用于它们相除得到的上半平面的一个复数,因此的全体才能确定一个同源,即下面的定理

由于我们假设了上半平面,所以矩阵的行列式等于-1的情况可以排除,原书也进行了相应的申明

如果上半平面中的两个复数可以通过中的一个元素转换的话则定义它们等价,在这种等价关系下,复半平面可以构造一个等价类集,其中选取的代表元称为基本区域,我们可以容易地得到一个典型的基本区域

它在复平面的图形如下面所示

过程不必深究,我们需要知道结论,完全模群基本区域中的每一个有限复数对应一个同源椭圆曲线

同余子群

我们给出完全模群的具体形式

它是一个群,单纯地研究它实在没什么意思,我们想研究的是它丰富的子群,我们挑其中几个比较特别的群

这些群有什么好玩的吗?实际上这三类子群也可以建立与同构椭圆曲线的对应关系,但不一定是同源。开始前,我们先建立一些简单的直觉,对于每个群,可以如同完全模群一样建立复数等价关系,上半复平面通过此等价关系可以形成等价类,其中的代表元一样构成基本区域,容易知道群越小,意味着等价的情况越少,点的种类越多,基本区域则越大,下面是两个简单的例子

如果我们想对应到椭圆曲线的话,就需要同源再增加一些要求,这样椭圆曲线的种类就会越多,才能在直觉上形成对应,那么该怎么加要求呢?对于映射,加要求的一种方式就是点的固定,椭圆曲线上哪些点被固定是我们想要的呢?我们从复环面上来找这些点

第一批是**N扭点(N-torsion points)**,形象地理解的话就是在C/∧的基本区域内取一个N×N的格点。另一个的话,没有名字

这里实际是由N扭点组成的一个集合,值得注意的是保持一个集合比保持一个点是更弱的,因为保持一个集合并不是保持集合里的每个点而是保持集合内的点仍是集合内的点。通过这些点我们来构造同构椭圆曲线的等价类,首先是第一类

看不懂没关系,其实这就是一个在原来同源的前提下,加上了保持椭圆曲线上的一个循环群的条件,这个循环群其实很好找,在N×N的N扭点中取一行或一列即可,此时这些点在环面加法下可以形成一个N阶循环群。其次是第二种

这里要求的点是N扭点,但并不是每个N扭点都是可行的,因为N扭点可能存在退化的情况,可能在N次相加的过程中就出现了零,我们知道N扭点基于环面加法可以形成一个群,那么其中的N阶元才是我们需要的,当然如果N是素数的话,所有当然点都是可以的。最后是第三类

这里选择了两个不相关的N阶N扭点,这其实是个很好的巧合,N扭点正好有N×N,我们就会觉得N扭点似乎是二维的,所有能正好选出两个点来,也正因如果,我们不会在有三个扭点的情况了,目前已经不知如何该继续加限制了。这正好对应了同余子群Γ(N)不能再小了,但请理解这个“不能再小”的意思不是说没有子群了因为Γ(kN)就是它的子群,也就是说“不能再小”的意思是的子群总会包含一个Γ(N),当然我们并不考虑平凡子群,这是可以证明的,所以同余子群实际上就是的子群。通过上面加限制的同源映射,我们可以将其生成的等价类与一些同余子群的基本区域对应起来,先引入一些基本区域的符号

于是我们可以得到下面的一系列对应定理

如果看不懂,问题也不大,你只要知道它实际上是一些同余子群与一些椭圆曲线等价类的对应关系即可,就和我们之前由完全模群建立的对应关系是类似的。

尾声

在本篇章中,我们将费马大定理约化为了证明Frey曲线不存在,Frey曲线正好有一个无重根的性质,由此我们引出了椭圆曲线,通过对椭圆曲线的探索,我们发现了其中的环面结构,对环面同源的探索,我们发现了同余子群。可能离于我们最开始的目标有些遥远,但我们至少明白一点,证明Frey曲线不存在的矛盾应该在椭圆曲线和同余子群中寻找。本篇中揭示了椭圆曲线和同余子群存在一种简单的对应关系,那么证明某个椭圆曲线(Frey曲线)不存在,或许可以转化为同余子群下的某些东西不存在,这就是我们接下来要讨论的东西。

中篇

模曲线

在上一篇中,我们从椭圆曲线发现了模群和同余子群,而这篇中,我们将学习如何从同余子群构造出椭圆曲线。你可能会说,之前的对应关系,不就可以直接构造出椭圆曲线吗?这也没错,但是我们无法发现更加丰富的性质来达到我们最终的目的,找到Frey曲线的存在矛盾。C上的椭圆曲线范围过于广,导致我们无法看到一些特殊情况下的精妙性质,如果考虑Q上的椭圆曲线或许是一个好的选择,因为Q特征为0的最小域,我考虑过在基本区域内找到它们的同源像,不过发现自己的能力好像有点不足,算不出来。不过嘛,我们作为学习的人跟着先辈们的足迹走就行了。
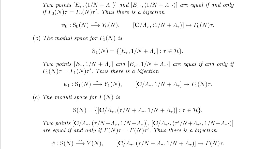
上半平面H关于同余子群Γ的等价类集合,我们记为Y(Γ),可以验证它是一个黎曼曲面,但并不够,我们需要紧黎曼曲面,方法也很简单,把Γ的等价尖点加进去就行了。我们可以直接从相关的结论得到尖点,我们定义Q∪{∞}在Γ下等价类的集合为Γ的尖点,这不是原始的定义,但这是合理的定义,其实不知道太多也无所谓,只要知道这样做以后形成的曲面记为X(Γ)并且它是一个紧黎曼曲面。比如完全模群它有一个尖点等价类,我们把其中的一个代表元无穷远点∞加进去,此时我们把等价点黏起来就可以形成一个闭曲面了,也就是紧黎曼曲面,紧黎曼曲面有一个优点是可以定义亏格。我们把X(Γ)称为模曲线,模曲线的亏格有相应的公式计算

里面有些其它的概念,比如椭圆点和映射的级,我们其实不必要知道这么多,只要明白亏格这玩意可以计算出来,比如X()的亏格为0,X()的亏格为1之类的。对于一个黎曼曲面,或更一般的流形,我们想要研究其上面的亚纯函数亚纯形式,全纯也是亚纯的一部分,所以没什么好说的。由于我们构造的流形,是复半平面诱导出来的,因此我们寻找模曲线上的函数也不会太难,只要找到复半平面H上的某些函数进行限制映射即可。
我们先来考虑模曲线上的函数,思想十分简单,即要求在等价点上的函数是相同的,就像下面这样

当其中的k=0即是我们想要的,不过数学家显然考虑更多情况,这主要因为k=0情况下的函数实在少得没啥研究的必要,比如完全模群且全纯的时候,只有常函数符合要求。不过我们进一步把条件放宽为亚纯形式的话,其实还是能找到的,就是椭圆曲线中的那个函数。我们先不管模曲线上的函数,不如先考虑一些更广泛的情况,然后只要挑出需要的即可,统一思想的研究往往是方便的,首先是模形式尖形式的定义

一下子似乎涌入了不少概念,我们来解答一下,首先我们考虑的是同余子群,其包含的元素更少,函数受到的约束也更少,所以我们将拥有更多的函数,所以第一条我们让是个全纯函数也是有可能出现想要的函数的,第二条简单来说就是在同余子群下满足之前的那个等式,比较需要讨论的是第三条全纯函数最开始是定义在上半平面上的,并不包含尖点。由黎曼面的构造我们可以知道,尖点实际是孤立的,即它的周围都属于函数的定义域,而我们为什么考虑无穷远点呢?我们很容易发现,模形式实际是一个周期函数,所以存在复数形式的傅里叶展开

我们发现傅里叶展开经过一个指数函数后,其实相当于对应点的洛朗级数,不过嘛,根据延拓的相关原理,将上半平面的函数扩展到整个平面也不是不可能,所以有个展开也不是稀奇的事。至于最后一部分,将傅里叶展开没有常数项的模形式称为尖形式,没啥好说的,要求而已。然后再来一个自守形式的定义

差别不大,只是将全纯的条件弱化成了亚纯。以后我们把它们通称为模函数好了,关于模函数,我们需要记住几个区别类型的参数,比如k表示模函数的,同余子群Γ表示模函数基于的同余子群,这两者合起来才能确定一类模函数,我们知道同余子群有一个级N,自然的我们也把N称为模函数的,但这个N必需要求最小。最后当然是看一些实例来加深理解

当我们赋予模函数加法和数乘时,容易发现,模函数空间有封闭性,还能构成复数域C上的一个线性空间。所以我们自然对其维数和标准正交基感兴趣,因为这样我们就能摸清整个函数空间,并且通过基来生成所有的模函数。首先是维数,通过对模曲线的分析可以得到下面的公式

这里偶数和奇数是分开讨论的,还是那句话看不懂不用紧,只要知道维数确实是可以计算出来的就行了。我们接下来用到的其实只要一个,即权为2的尖形式空间的维数等于亏格。
即然确定了维数,接下来的目标自然是寻找基了,对于所有的同余子群可能并不好找,但对于一些特殊且重要的同余子群还是可以找到的,首先是转化性质

它告诉我们研究Γ(N)和完全模群下的模函数,可以向中间靠拢,之研究Γ1(N)和Γ0(N)的情况,然后再转化过去即可,而这两类同余子群有着分解关系

我已经在说明了写的十分清楚了,进行整体的研究看即可,如果要进行更细致地研究则考虑带特征的,但特征为平凡特征时就回到了子群自身的情况,注意同余子群的包含关系和模函数空间的包含关系是反过来的。
接着我们再来考虑一下模函数的基有哪些?完全模群的情况比较清晰,所以我们来考虑一般的同余子群,我们主要考虑的模形式情况。此时我们应该参考泛函分析相关理论,当一个函数空间组成线性空间的时候,我们可以考虑函数自身的线性变换,即函数算子,此线性变换对应的特征向量组就可以构成此线性空间的一个组基。在研究模函数算子前,我们先引入几个变换的记号以便于后面的计算

这实际就是我们之前所见到的模形式定义所用的的变换,模形式的一个条件就是在这种变换下不变,在此基础上进一步有陪集变换

简单来说就是关于双陪集的变换,就是相对于其陪集分解中代表元变换后求和,可以证明其结果与代表元的选取是无关的,这里是一般化的情况,我们实际需要的是它的特殊情况

这里定义了两个算子,Diamond是人名,所以别随便翻译成钻石算子,它是基于一个矩阵的变换,形式比较明确,系数关系也可以直接得出,稍微复杂的是下面这个基于陪集的变换算子,其实看不懂也没关系,它是可以直接化归为具体的算子和,由下面定理给出

此时算子只有素数情况是不够用的,所以我们进一步推广到正整数的情况

算子的数乘与加法,可以看成函数的加法和数乘与算子运算交换次序,而算子的乘法则视为算子作为映射时的复合映射,这都泛函分析的常规操作,就不深入说明了。我们知道模形式可以完全由傅里叶展开系数来确定,于是考虑这些算子都傅里叶展开系数展开系数的影响是足够的

这里看似有两个部分,实际是一样的,第一部分是通常的,因为其特殊数据不够细致,所以里面包含了一个Diamond算子,但如果考虑其更细分的情况,即带特征的,此时计算就更加明确了,Diamond算子可以直接用狄利克雷特征来代替,这也印证了之前所说的Diamond算子对下模函数空间的划分作用。
为了考虑标准正交基,我们需要内积的概念,使得模函数空间可以形成一个内积空间,我们考虑Petersson内积,比较遗憾的是,在尖形式空间下此内积可以很好的收敛但一般的模形式空间却不行,但以后我们会知道,尖形式已经足够用了

定义链稍微有点长,使用的是广义上积分定义法,先引入辛测度,再定义辛体积,最后在定义内积。其实它主要告诉我们内积是怎么计算的,但对于研究通常性的理论,基本都不会去计算,用得更多的是它们的性质,从而完成某些定理的证明,比如我们的目标,正交基的组成定理

这里面有几个值得注意的点,首先是同时特征形式,即我们的基函数必需同时是所有Hecke算子的特征向量,而且这个特征算子还要剔除一些情况,只能选取互素的情况,这是为什么呢?实际上,当一个函数是下的模函数时也一定是下的模函数,这说明下的模函数可能有些不够纯正,它可能是因子级的函数,这些退化的情形不是我们想要的“纯正的级为N的模函数”,我们把这些函数构成的空间称为旧形式空间,它有一个严谨的定义如下

顺便我们还把它的补空间视为新形式空间,值得注意的是补空间的定义依赖于内积,内积只有在尖形式下才能有比较好的定义,所以讨论新旧形式都必需在尖形式空间下。接着我们可以给出特征形式的严格定义

可以看到此处的特征形式,要求所有的Hecke算子而不需要排除非互素的情况,另外注意到线性空间的数乘性质,可以通过除法让首系数为1,从而给出正则特征形式,在此基础上,我们给出了新形式的定义,看以到新形式是十分确定的存在,通过下面定理

我们终于找到了,新形式空间的标准正交基就是所有新形式的集合,如果要扩展到整个空间的话,则只要把级为因数的新形式考虑进去即可

可能比较碍眼的是那个n了,它可以不需要吗?其实是不行的,主要还是旧形式空间过于繁杂,我们先这样来考虑设是级为M的新形式,那么只要那么就是的函数,显然它们都在旧形式空间中,并且还是线性无关,但它们并不能是某个级下的新形式。简单来说就是,新形式不能完全构成的基,但可以通过新形式来生成,但它却是正则特征形式,所以以后我们不仅仅考虑基的性质,而进一步考虑特征形式的性质,比如下面的这个

它表明了,正则特征形式的傅里叶系数可以由素数情况完全确定,所以说模形式与数论存在联系也不足为怪。
知道模函数以后,我们终于可以来研究模曲线上的函数,聪明的小伙伴应该已经意识到了权为零的自守形式其实就是对应模曲线上的亚纯函数,自守形式空间的维数的研究较少,但黎曼曲面上亚纯函数研究倒是不少,我们只要知道结论就行了,至于怎么证,不知道也罢

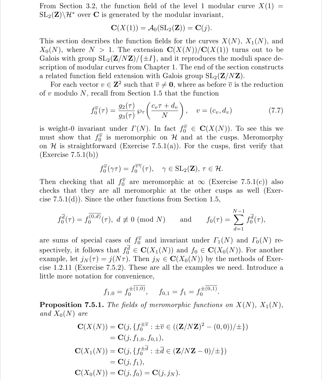
我们要看的只有最后一部分,前面是在告诉你如何把需要的函数给构造出来。其中C(X)表示模曲线X上亚纯函数的集合,而C(函数1,函数2,…)则表示通过这些函数四则运算构成的域的集合,换言之即这些函数的有理函数构成的集合。从中可以看出不少信息,如同余子群越小,则基本区域越大,符合要求的函数自然也就越多,大概因为只有多才能研究出更多东西,所以我们不会只研究完全模群。
最后,我们来考虑一下黎曼曲面上的亚纯形式,亚纯形式和亚纯函数的区别在于多了个小尾巴,长这个样子它必需满足在每个局部坐标下形式不变,考察构成黎曼面的变换的性质

可以看到进行一次模变换,增加了一个二次自守因子,所有可以有以下的对应关系

当k=2时就是我们所需要的,即模曲线上的亚纯形式与权为2的模函数一一对应。这里我要提一些其它的东西,大家可能都知道在欧式空间的微积分中有全微分形式的不变性,其原因是欧式平面的平坦性导致的,即高斯曲率为零。而对于我们研究的黎曼曲面大多都是曲率不平整的曲面,甚至不一定能嵌入到三维欧式空间中去,而对于能嵌入的曲面,即通过我们平常所研究的古典微分几何可以知道,求导之类的运算会引入Christoffel符号之类的东西来辅助计算,所以对于一般性曲面,微分形式和可微函数不对应应该是可以理解的。我们需要亚纯形式当然主要是为了积分,我们把符号单独写成,在这里我们只需要全纯形式

比较有意思的是,模曲线上的全纯形式,对应的是权为2的尖形式,而不是模形式,这是为什么呢?最开始我们要清楚一点,这并不是因为模形式空间和尖形式空间可以对应,有时它们的维数都不一样,模曲线上的全纯形式要求在所有局部坐标下形式不变,我们在构造模曲线的时候基本用的都是恒等映射,唯一特别的坐标是椭圆点处的情况,它使用了二次和三次函数,以这个情况去考虑的话,大概就知道原因了,对于我们的概论而言知道是这么一回事就行了。

雅可比簇

有了上面的准备工作,我们终于可以来构造环面了,基本方法使用的是商群

在这里我们构造了模曲线的雅可比簇,但我们需要注意的是所有的紧黎曼曲面都可以构造雅可比簇

所谓的雅可比簇实际就是全纯形式的对偶空间对同调群的商群。
我们先来迅速认识一下什么是同调群,准确来说第一同调群

标准定义比较复杂,所以简单地讲述一下,同调实际有两种情况,一种是我们这种,暂时称为下同调,还有一种是deRahm上同调

废话很多,我把关键部分说一下,首先在黎曼曲面上积分,需要两个东西,路径和微分形式,路径不单指黎曼曲面上的一条路径,还包括路径的线性组合,因为积分有线性的特点,所以定义路径的线性组合上的积分是合理的,如果要求线性组合的系数为整数,那么称其为一维链,详细内容如下

我们往往考虑那些闭的一维链,即边缘为零的时候

如果一个闭链与另一个闭链的差也是一个二维链边缘,即闭链,则称这两个闭链是同调的,这样所有的闭链形成的等价类就是我们的下同调群了。虽然原始定义复杂,但我们发现同调链上的积分都是一样的,所以同调实际可以用另一种方式来思考,即微分形式在上面的积分是相等的。同调链的基本基路径是可以找到的

为什么是这么几条,可以参考复变函数的柯西公式,对于复平面上全纯函数而言,闭曲线上的积分都是零,与选择哪条路径没有关系。至于上同调就很好理解了,它实际表明了积分的另一个部分,即微分形式的等价类,至于恰当的、闭的之类术语其实也不用管,只要知道两个同调群可以确定积分方式即可。
接着再说一下对偶空间,这在线性空间中就有定义,它表示线性空间中元素到其基域的映射,换到微分形式实际就是就是到复数域上的映射

积分运算正是其中的一种情况,我们通过路径的不同来区分不同的微分形式到复数的映射。正在认识同调群和雅可比簇时,积分什么的只是计算方式而已,本质还是得把同调群视为整格,对偶空间视为高维复平面,雅可比簇视为高维复环面。这里提到积分的主要作用是计算和证明,比如下面的对应定理

这是黎曼曲面上除子和积分方式的对应关系,从而引出了Picard群与雅可比簇对应关系,当然我们更感兴趣的是怎么把雅可比簇计算出来,在《Algorithms For Modular Elliptic Curves》这本书里有详细地介绍,对于亏格为g的模曲线,我们自需要计算出同调群上的参数即可,总共有2g个g维复向量

由于对权为2的尖形式空间真好有个巧合,它的维数与亏格相等,于是正好可以把作为基的尖形式拿出来做不互相同调的全纯形式,配合2g条可能的闭路径,就可以计算出2g个在R(参考一维环面的构造,两个复数是是R上线性无关的,而不是C上无关的)上线性无关的g维复向量了。
除了知道雅可比簇实际就是一个高维环面以外,我们还要知道Hecke算子实际是可以作用于雅可比簇的

雅可比簇可以看成一个积分路径的等价类,或者是由微分形式到复数的映射等价类,Hecke算子作用于雅可比簇实际就是,先作用于微分形式再进行积分映射,而它之所以是一个定理,因为我们需要证明这样交换运算后等价类的像依旧是一个等价类才行。
我们来扩展一下Hecke算子的数量,并让它关于之前的乘法和加法形成一个环,并补上数乘形成一个代数

再定义一个由模形式生成的Q的扩域

这些定义以后会用到,为了研究雅可比簇的一些性质,我们深入探讨一下权为2的尖形式,有下面这个定理

它说明了这类尖形式的有理构造,由此我们可以引出同调群和雅可比簇的有理构造

我们知道雅可比簇是个复环面,那肯定与椭圆曲线有关系了,但由因为雅可比簇的有理构造导致了这样的方式还真不一定能引出所有C上的椭圆曲线,这也是为什么模性定理要求有理数域Q上的椭圆曲线是模的。这里又不得不提一下一些错误的科普结论,比如每个椭圆曲线都有个模形式与之对应,这是不对的,如果这个椭圆曲线是C上的,并且不能通过容许变换转化为Q上的椭圆曲线的话,那么它一定不可能由模形式通过上面的构造生成出来,因为生成出来的一定是Q上的椭圆曲线。

阿贝尔簇

如果模曲线的亏格为1,通过上面的构造,我们实际已经得到了一个一维环面,换言之即一个椭圆曲线。当然了亏格为零模曲线得不到雅可比簇,自然得不到椭圆曲线,所以我们的导出椭圆曲线的对照表都是从11开始的

这里对应的模曲线是,我们可以通过公式

很容易地得到当N<11,所得的模曲线计算出的亏格都是零,自然也没有什么导出的椭圆曲线了。回到正题,我们在意的是亏格大于1的情况,有人可能会觉得,从R上无关的复数中挑两个出来不就能形成一个一维复环面了吗?可不能这样,我们举个例子比如模曲线的亏格为2,那么我们的雅可比簇应该有4个线性无关的2维复向量,如果我们需要一个一维复环面则需要2个1维复向量,首先是维度上,两个2维复向量可能线性无关,但怎么才能保证导出两个线性无关的1维向量呢?投影肯定是不行的,(1+i,1+2i)和(2+2i,1+3i)在R上无关,但1+i和2+2i在R上相关,取巧肯定是不行的,我们需要一些更加科学的方式。
方法是借助雅可比簇上Hecke算子生成的核

这个其实挺好理解的,比如亏格为2的雅可比簇实际可以看成一个平行六面体,而通过商群构成的等价类实际相当于这个平行六面体中的一个面,即平行四边形,而它就相当于一个一维环面。想要真正证明它是一个复环面依赖于下面的定理

从雅可比簇构造元素中扣掉一些东西用类似的构造法就形成了我们的阿贝尔簇。这是你可能发现这个阿贝尔簇好像也不是一个一维环面,这里必需说明新形式,或者正则特征形式,最多只能是代数整数系数

而之前所说的有理数系数,指的是尖形式空间的可能基,新形式是基,但基不一定是新形式,所谓雅可比簇的有理构造并不是指其中的复参数都是有理数,指的是有理数的代数闭包,即代数数,这个事实十分重要,正因为这个事实,后面我们才能对阿贝尔簇来构造Galois表示。至于阿贝尔簇怎么计算,由于上面的定理,其实跟雅可比簇的区别不大

里面说明了要选有理新形式,因为只有这样我们才能得到一个一维复环面。至此,我们终于可以给出证明费马大定理的一个重要中间定理,模性定理,的一个严格表述了

首先我们缩小函数范围为,这个的合理性得我们认识到伽罗瓦表示的时候,模性定理有定量的性质,情况下会带有特征,所以在情况下是更加精准的,其次我们要求椭圆曲线的不变量是有理数,Q上的椭圆曲线是可以推出这个结论的,但反过来却不一定,但是如果只是考虑两者之间连续上的性质,分析上的对应的话,后面我们会看到只要格参数是代数数就够了。这里的满射全纯同态实际就是我们之前讲的同源,这是我们要注意到一点,同源下的同构曲线可能不止一个,参考之前的对照表,但N=11的时候,一个同源类下有三行数据,其实就是这个原因,但以后我们会考虑模性定理的定量关系,在同源情况下它们一样的。
对于一个特征形式,它有几个数来确定它的外貌,首先是阶k,但一般情况下我们取k=2,另一个是级N,还有素数项的傅里叶系数,模性定理的定量情形开始于下面的两个定理

即模形式的几个特征数可能与椭圆曲线的一些数存在定量的关系,我们可以轻易地将它们定义出来

此处我们定义了Q上椭圆曲线的*级和一系列由有限域上解定义的数*,因为当p是素数时上述有限域才存在,所以椭圆曲线定义的一系列数只有素数的情况。当然这其实是知结果给定义,本质的路径往往是反过来的,不过对于后人来说无所谓了,而且在2,3加性约化时值根本就找不到

按照椭圆曲线导子的作用,它有tame和wild两个部分,而2,3的时候不确定的正是wild部分,更具下面的一些研究

简单来讲,它不是很确定,会更具不同椭圆曲线的情况而改变,对我们而言最好的办法,而且下面的计算公式

估计也没谁会拿去用,反正我们只研究半稳定情形,根本遇不到这么特别的导子。最后我们先把定量的模性定理给出来

当然我们能这么有底气是有前提的,特别是下面的这个定理

它说明了,由模曲线导出的椭圆曲线符合上面的模性定理,而模性定理则对应其反过来的情况,它要求证明每一条椭圆曲线都可以由模曲线导出,当然通过更深入的推导,可以证明阿贝尔簇的情况

证明由主要由Deligne完结,全是法文(数学嘛,不是英文就是法文),笔者读着读着就读不下去了,有兴趣的同学自己去研究吧。其实,本来的路径应该是正因为有这些定理,才引出了椭圆曲线上的一系列特征数,并引起了对所有Q上椭圆曲线定义这些特征能否往回思考的想法。

尾声

在本章中,我们只做了一件事就是,从模形式的世界走向椭圆曲线的世界,通过这样的探索我们发现,Q上的椭圆曲线似乎有些特别,好像可以由模曲线通过一系列映射构造出来。而且通过Eichler–Shimura, Langlands, and
Deligne等证明的定理可以发现,所有导出的椭圆曲线上有一系列的特征数字与原来的模形式存在着数值上的关系。我们想着这些特征数能否推广到所有Q上的椭圆曲线,这就是我们证明费马大定理中最重要的一环,模性定理。

下篇

Galois表示

联系模形式与椭圆曲线的,是有理数域Q的绝对Galois群的表示论,准确来说是环面导出的表示,在此之前我们先来认识一下群表示是什么

一个群表示要素似乎很多,首先是域,其次又是域上的线性空间,而对应的还是线性空间之间的可逆线性变换,还要满足群同态。当如果回忆起线性空间的基本理论可知,域k上的n维线性空间都互相同构,且在选定基以后,这些线性空间之间的变换同构域k上的n阶可逆矩阵。也就是说,真正研究群表示的话,我们只需下面情况即可

因此以后研究表示,我们所指的都是矩阵表示,原始的定义主要有助于证明一些表示的基本定理,但从一般层面上来看的话,矩阵表示有助于我们理解表示,并运用表示的理论。至此我们知道了一个表示有几个决定因素,需要被表示的群G、基域K、维数n、群同态方式ρ。
考虑Q的绝对Galois群,其中的表示Q的代数闭包,即代数数,它是一个无限群,我们将这个群的表示称为Galois表示,以后我们主要研究它的矩阵表示。维数没什么好说的,我们来考虑基域的情况,更据域的基本理论可知,域可以依据特征进行分类,一种是特征为素数p的有限域,其最小素域,另一种是特征为0的无限域,其最小素域为有理数域Q。有限域的扩域是唯一的,而Q的扩域目前已知存在两种情况p进数实数,分别记它们为,实数的代数闭包比较清晰就是复数域,与此同时我们将p进数域的代数闭包记为,由于复表示的理论比较无聊,所以我们主要研究p进素域的表示理论,并有下面定义

另一个等价定义,即把这个群的元素作为线性空间中的一个线性变换,我们就不考虑了,除非哪次证明需要用到。
当然这还不够,我们还需要认识两个东西,p进整数和剩余表示,它涉及了一种p进数的构造法,p进数看起来其实比较魔幻,并不像实数一样给人一种实在的感觉,下面是p进整数的定义

它是一个交换整环,所以存在分式域,我们将这个分式域称为p进数域。p进数一个好的理解方式就是把它看成数反过来写的样子,p进整数就是从个位开始反过来写到无穷的数,当然也可以为零,所有整数属于p进整数,但并非所有的有理数都是p进整数,比如就不是7进整数,但却是5进整数,不过所有的有理数都可以嵌入到p进数中,可以使用p进除法来生成,所以p进数确实是有理数的扩域。实际上,我们可以将所有的代数数嵌入到p进数的代数闭包(这里需要考虑复数的成分,p进数的代数闭包类似于实数向复数的扩张)中,但由于p进数和实数的解析性质不同,所以并不认为p进数和实数是一样的。注意到以后我们考虑的p进数域上的表示本质上是p进整数环上的表示,p进整数环是一个局部环,它有一个极大理想,因此可以构造剩余域,按照下面的定义

和之前所指出的同构关系,于是我们可以得到一个特征为p的有限域上的表示,称为上述p进表示导出剩余表示。其实不需要有太深的理解,两者有区别吗?一个是有限域上的表示,另一个是无限域上的表示,当然不一样了,但是对于我们即将研究的环面表示上,两者实际是性质上完全一致的,这是因为构造p进表示的时候,我们用的了特征为p的有限域上的表示。
最后我们来考虑表示的一些特性的定义

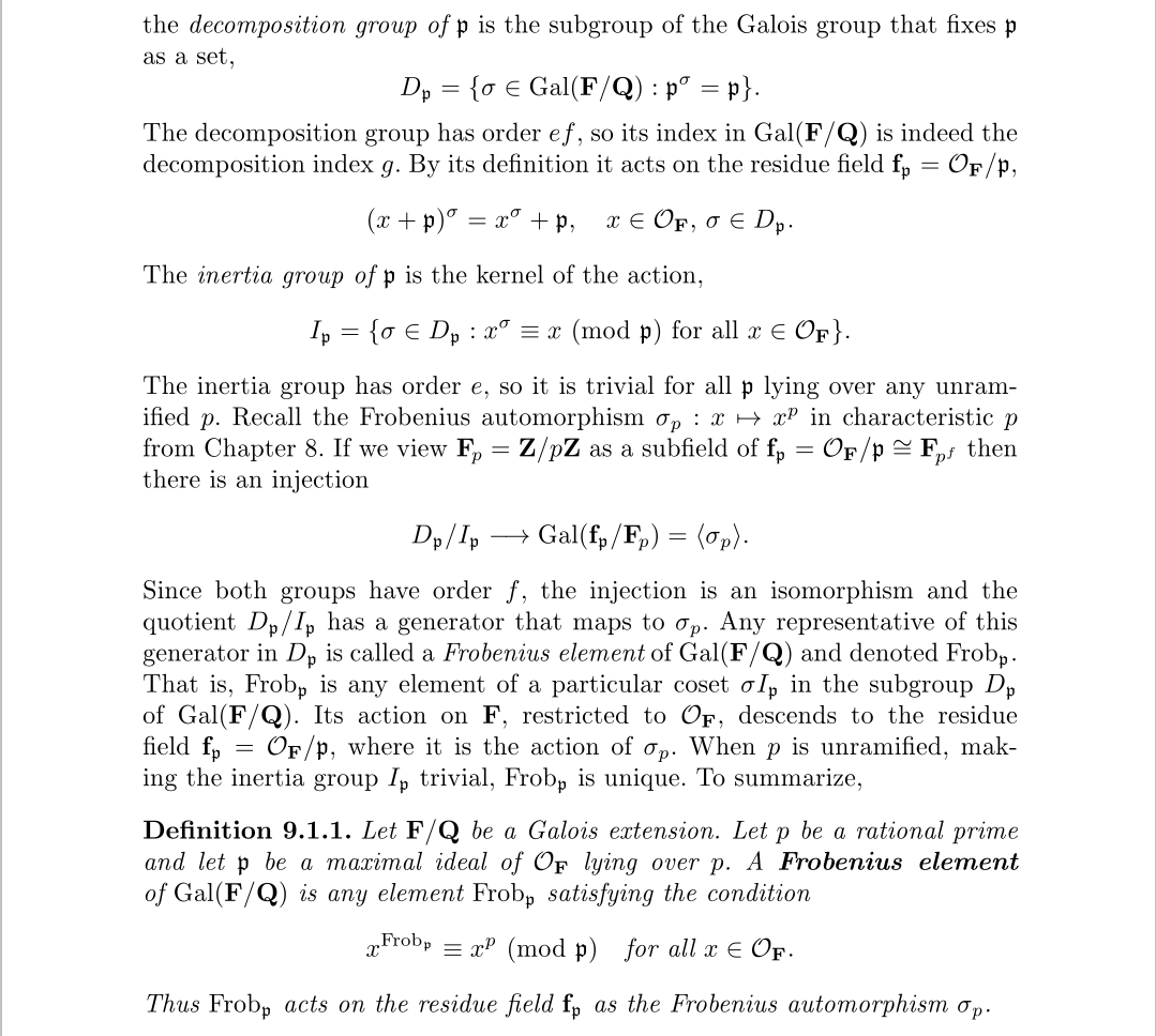
这里给的定义是关于Galois群的,主要针对一般的域,我们把它特例化我们的情况,即考虑代数数域,此时它的代数整数环为,即所有的代数整数,所以它的极大理想可以由素数构造出来即,这就是所谓“lying over p”的极大理想,此时的剩余域实际就是特征为p的素域,所以decomposition群和inertia群实际是一样的,它们的商群就是平凡群。inertia群的一个子群,它有一个决定参数即代数整数环的一个极大理想,此时inertia群可直接视为保持这个理想的元素的集合,注意这些都是我们的特例下才有的性质。下面对于我上述所说的东西进行了详细地说明

Frobenius元素关于某个极大理想定义,也可以视为基于某个素数定义,我们研究其的目的主要为了从代数数中挖掘出p进数来,挖掘的第一步就是先从理想导出特征为p的有限域,但这样是不够的

我们需要保证,表示对于同一理想下的Frobenius元素结果是一样的,所以我们定义了一个表示,在一点素数上的非分歧,或者在一个极大理想上的非分歧

只有在分歧点,我们才能很好的保证,表示在同类Frobenius元素处的表示有相同的行列式det和迹tr。其实非分歧并不是很重要,重要的是表示在一点有限,它的定义很复杂

包括我们以后用的Ribet定理,实际也是针对有限的情况,有限和非分歧的等价,有一种情况没被包含,即域的特征与点p相等的情况,而这种情况给出了平坦的原始定义

这里面的定义链有些复杂,我们来理清一下,首先最开始的定义是“表示在某点有限”,它涉及代数几何的相关概念,这样的定义显然有些不够纯粹,而“非分歧”就很好地将有限的大部分“有限”的情况给带走了,而且还不涉及代数几何的概念,而另一部分我们就干脆定义为了“平坦”,所以分歧实际包含了两种情况,一个是有限中的平坦情况,另一个则是不平坦的情况。所以表示在一点的情况,分为不有限、非分歧和有限平坦三种。知道这些东西对我们理解Ribet定理是十分重要的

注意到Ribet定理的原始论文与现代的转述有些不太一样,首先原始论文中的第一个情况实际是Mazur的结论,Ribet证明的是第二个情况,由于一定是素数,所以N与互素的实际意思就是不整除N,对于非分歧两者是不同的素数,所以一定互素,而对于平坦的情况,由于特征与表示所约的素数相等,这实际就是现代的转述中第一句的“where e不整除N is a prime”,这样也可以很好地把“p||N”(即N的素因子p的次数为1)的情况考虑进去。所以两者实际上意思是完全一样的,模表示是什么可以先不理会,我们总结一下表示在怎样的素数p是可以约化的,首先p必需是N的非平方因子,若p与特征不等,则只需表示在此处非分歧,若p与特征相等,则表示需要在此处平坦。你可能会好奇MainTheorem的第一部分,即Mazur的结论

从现代表述和Ribet论文中的表述,我们可以看出实际上它与Ribet定理的主要区别不在非分歧和平坦上(本质都是有限),而在于p与N的关系,但你会发现Mazur的要求之一也有p是N的一次素因子,换言之Ribet定理实际包含了Mazur的结论。这里就要提一下Ribet实际证明了什么,即下面的定理

Ribet实际完成的是一个次数向上的工作,而新产生的这个q又正好满足Mazur结论中的要求,应用Mazur的结论最后才得到了我们的Ribet定理。也就是说Ribet的证明+Mazur的结论综合起来才得到了现代的Ribet定理。考察Ribet论文的核心部分,它先是在“Raising the level”部分证明了升次的定理

然后在“Lowering the level”部分,结合Mazur的结论的结论完成了最后的降次定理

当然证明中用到了由模形式构造表示的一些东西,不过我们知道是这么一个过程就足够了。

Tate模

下面讲述了如何从一个椭圆曲线,或复环面,构造一个2维p进Galois表示

第一步是构造环面上的Tate模,p进Tate模可以看成环面上一系列扭点关于映射的反向极限,至于反向极限可以看成满足映射关系的反向点列,这样的构造与p进整数的构造是类似的,区别在于Tate模上的点列是二维的,而p进整数上的点是一维的,所以两者的同构关系是这样的,所以两者上的自同构集也是等价的,而上的自同构集实际上就是二维矩阵集,它是二维p进矩阵的子集,所以如果要构造一个二维p进Golois表示,我们只需要将绝对Golois群对应到椭圆曲线的p进Tate模的自同构群上即可,这里使用的方法是限制映射,自同构群一定保持有理数域Q,那么只需要求扩域是Golois的,即代数扩域就可以保证的元素到上的限制映射。简单来讲就是的元素是保持Q扩域之间的映射,而当我们保证是代数扩域时,它就是的子域,所以映射可以通过缩小定义域来变成上的映射,而另一方面子同构群依据其特性是保持有理数域Q的,所以此时存在的映射,由椭圆曲线来确定,进一步通过图的交换和Tate模的定义,我们可以将映射扩充为上的映射,从而我们构建了从椭圆曲线的2维p进Galois表示。但其中有一个值得注意的点,即椭圆曲线上的N-扭点必需是代数的,Q上的椭圆曲线是可以做到了,研究来源于代数几何

对于Q上的椭圆曲线,其不变量也是有理的,所以相当于是Q的代数扩域,当然这里的下面加了个,它表示由决定的椭圆曲线

其中也详细说明了有理时与Q上椭圆曲线的关系。不过嘛,我们只要知道Q上椭圆曲线确实可以构造一个表示,并且知道表示所拥有的下面性质就足够了

首先这个表示是不可约的,其次是表示在pN以外的素数非分歧,所以在这些点上可以定义Frobenius元素的表示,其中的两个特征即行列式和迹,当然我们是将其藏在一个二次方程中的,而且它还与椭圆曲线的一些特征数存在数量关系。更近一步地,我们来考虑剩余表示的性质

里面,a是有理数,而整体表示a中因子p的次数,分母时为正,分子时为负,其它情况可以约掉,比如,不过这个前提也比较奇怪,曲线E要半稳定。所谓奇表示指的是

其中的2.7就是我们需要的。
接着我们要将这样的构造应用到模曲线导出的环面上,过程其实没啥好说的,跟椭圆曲线的构造过程基本一样,首先是模曲线

值得注意的是模曲线的表示,指的实际是模曲线上雅可比簇的表示,学过复流形的应该知道紧黎曼曲面是可以嵌入到它自己的雅可比簇中的,雅可比簇是一个g维复环面,所以定义类似的p进Tate模也是简简单单。需要考虑的还有添加扭点的Galois性,当然这里每个分量的Galois性,你觉得它对就行了,而且很久前面的探讨也大概能感受到这些。另一个觉得怪异的点是,方程的系数为啥是算子?上面其实也讲得挺清楚的,原始的几个Hecke算子可以成一个环,它们构成的Hecke代数可以视为雅可比簇(或皮卡群)上的变化,它可以视为一个Z模,它可以与原始的Hecke算子建立对应关系,所以将表示视为群到Hecke代数的映射是可以的。更进一步,我们可以得到想要的存在即阿贝尔簇的情况

在这里我们也可以发现,模形式导出的表示和椭圆曲线导出的表示有惊人的相似之处,同时也知道了为什么之前我们选取同余子群的情况就已经足够了。最后我们给出,什么叫做一个表示是模的,主要是p进表示

简单来说就是与一个模形式导出的表示等价,但它还多了一个对行列式的要求

其实椭圆曲线和模形式导出的表示都有这个性质,但表示等价并不能保证这个性质,所以才给它加上的。由此我们可以得到模性定理的最终表述

我们注意到这个定理有一个参数来表示表示是进表示,在表示的一些特征数中是排除了的情况,但N是有限数,所以实际上我们只要选定特定的几个就可以覆盖到所有的椭圆曲线与模形式的对应关系,这就是下面的这个定理

模性定理的完整形式已经讲述完了,接下来我们考虑另一个重要的情况,即约化表示的情况,因为只有这种情况下才能使用Ribet定理

基本上大差不差的,把对应由模形式导出的表示也约化就可以了。由于我们不考虑模性定理的证明,所以对于引进约化表示,我们主要为了费马大定理,这样可以借助之前对椭圆曲线的研究,来得到约化表示的性质

即表示的模性可以向剩余表示传递,当然反过来就属于模性定理证明的范畴了。至于Ribet定理就看上一部分内容吧。

Frey曲线

我们飘离主题这么久了,终于可以回到正题上来了,Frey曲线究竟有什么问题?又可以引出怎样的矛盾呢?我们的第一步是得到Frey曲线作为椭圆曲线的两个基本特征量

首先Frey曲线是条半稳定曲线,这其实挺重要的,虽然模性定理对所有椭圆曲线都成了,但半稳定意味着它的导子没有平方因子,由于b是偶数,所以Frey曲线的导子包含了2,至此也看不出Frey曲线有什么奇怪的地方。依据模性定理,我们可以得到一个Frey曲线导出的表示,,p对应方程中的指数,这个表示是模的,考虑剩余表示,我们发现导子的所有的奇素因子都在判别式中且次数都是2p,根据椭圆曲线剩余表示的性质,我们可以得到

这才是Frey曲线真正离谱的地方,它的剩余表示在除了2的地方都是有限的,由于Frey曲线又没有平方因子,根据Ribet定理,这个表示最后的级是2,这意味着Frey曲线对应的表示是由新形式导出的,但是模曲线的亏格为零,根据维数公式,这样的新形式并不存在,所以Frey曲线并不存在,费马大定理成立。
关于证明还有几点需要指出,p是不超过5的素数,所以可以导出所有包含这些素数的合数的费马大定理,而且p=3并不能用这种方式来证明,所以这种情况的证明是必要的,剩下的情况就是2的幂的情况,除了n=2的情况,都可以由n=4的情况导出,所以证明n=4的情况也是必需的,而且也不能移植到用Frey曲线的证明上。所以费马大定理的完整证明包含n=3、n=4和Frey曲线不存在三种情况。
如果你不觉得Frey曲线奇怪,那我们来看一看正常的椭圆曲线,考察Q上的椭圆曲线

计算可得它们的判别式分别为-11,-11和-161051=-11⁵,由于针对整数情况分式有理变换会使因子降12次,故上述三个方程都是极小Weierstrass模型,再计算可得它们分别为16=2⁴,375376=2⁴×29×809,496=2⁴×31,因此上面三个椭圆曲线均是半稳定的,且在11有乘法约化,其它点为好约化,故导子均为N=11。我们需要知道这三个椭圆曲线是同源的,怎么证?我也不知道。
我的一个学生曾这样跟我说过,首先椭圆曲线同构当且仅当不变量相等,这样关系一一对应的,其次我在之前说过,椭圆曲线的参量空间(即决定同源曲线的参数)是群的基本区域,我们知道是这个群上的自守函数,所以也是基本区域上的函数,最后可以得到结论同源曲线和同构曲线是一个概念,都由的基本区域来决定。我来简述一下,它想表达的就是,决定椭圆曲线的那个参数可以由反求出来,然后由于是权为零的完全模群的自守形式,所以同源曲线的相等可以推出同构,最后同构必是同源,所以两者等价。一开始还真没看出什么毛病来,τ决定的同源曲线的相等所以同构,感觉好像挺有道理的。但仔细研究椭圆曲线的构造的话就会明白τ决定椭圆曲线和决定的椭圆曲线是不同的

换句话说就是,你通过椭圆曲线的解出的和椭圆曲线所对应环面的完全不是一个东西,自然地“由τ决定的同源曲线的相等”这句话是错误的。一个参量τ有几个,即一个同源类有几个同构类,这个嘛,我也不知道,不过可以通过查表来了解

比如,导子N=38对应的椭圆曲线有2个同源类,其下面分别有3个同构类和2个同构类。
回到最开始N=11的椭圆曲线,前两个的任何赋值只可能是0或1,所以剩余表示无处有限。最后一个椭圆曲线的对11进赋值为5,此时考虑表示,我们计算复共轭的判别式为5进整数(5-1,5²-1,5³-1,…)这是反向极限表达,转化为5进展开即(4,4,4…),显然1+(4,4,4,…)=0,所以它是有理数-1的嵌入,即它是一个奇表示,实际上只要一个表示是模的,都可以推出它是奇表示,而Serre模猜想则是所有的奇表示都是模的,这已经被证明了,当然我们针对的是二维Golois表示,由于曲线是半稳定的,所以它的剩余表示在11处非分歧,由Ribet定理,表示的级可以约为N=1,但这样的尖形式不存在,所以这个椭圆曲线不存在?又是一个麻烦的学生,不过善于思考是件好事,由类似的方法很多椭圆曲线都可以变成N=1的情况,其实问题就出现在这个N=1,Ribet定理其实有个隐性的条件没有说出来,就是待约化的N必需是合数,即约化的最后结果最小是素数

否则对N的分解和假定两者互素都是有问题的,不过这似乎被认为是显然的所以没有被提及在定理里,有人觉得不整除的条件已经包含这个条件,因为说一个数是否整除1没什么意义。
既然如此,我们考虑椭圆曲线

计算可得判别式Δ=-21952=-2⁶×7³和=-215=-5×43,所以椭圆曲线在2,7处有乘法约化,其它点处有好约化,是半稳定椭圆曲线,根据模性定理,我们得到表示是模的,考虑赋值,3整除6和3,所以此表示在2和7处非分歧,根据Ribet定理,我们得到此表示的级为2,这样的尖形式不存在,故此椭圆曲线不存在?啊,不行了,这该死的费马大定理给我带来这么多麻烦,老老实实地接受不就行了吗!谁给你这么多质疑的权利了?哦,一定是因为不可约,就算原表示不可约,但剩余表示不一定不可约

注意到上面推论2.8(c)的“for all but finitely e”,意思是不可约剩余表示有有限个特例,再看下面的定理2.9(b),所以对于半稳定曲线特例可以出现在2,3,5,7的地方。一下子把上面的两个情况都驳倒了,质疑是件好事,说明你确实在思考,也说明自己还有什么东西没有理解到位。而对于费马大定理实际可以用下面2.9(c)的更强结论,p=2时方程有解,对应的表示是平凡的,所以大于3的素数的剩余表示都是不可约的。接下来,我的学生再也找不到反例了,于是我宣告了胜利,费马大定理证明完成。

尾声

怀尔斯只证明了模性定理的半稳定情况,最后还是由它的学生泰勒完善了其中的错误,但也无法掩盖怀尔斯是最大的功臣,仅仅是因为它将费马大定理的证明做了结尾吗?要知道其中的许多过程都是必要的,比如Eichler–Shimura, Langlands和Deligne从模形式构造椭圆曲线的过程,它使得模性定理走向定量化;还有Tate的p进表示构造和有限平坦群簇理论,它给出来由特定环面导出表示的过程并结合代数几何给出非分歧,平坦等基本概念,从而使得模性定理的研究转向了群表示理论;接着是Serre和Frey详细地研究了各种椭圆曲线上的代数和表示,并且发现Frey曲线与一般的椭圆曲线有些奇妙的不同;然后是Mazur和Ribet对剩余表示的约化提供了理论基础,为后面的Frey曲线的矛盾引出提供了方法,使得Frey曲线也可以用“无穷下降的方式”引出矛盾;最后是Wiles证明了模性定理的半稳定情形,为费马大定理的证明划上了圆满的句号。这个领域还有许多东西,我的旅途还未结束,让我们继续前进吧。

参考

书籍

模形式导引, 群表示论, 复分析导引, A First Course in Modular Forms, Modular Forms and Fermat’s Last Theorem, Algorithms For Modular Elliptic Curves, A Course in p-adic Analysis, The Arithmetic of Elliptic Curves

论文

Sur les représentations modulaires de degré 2 de Gal(/Q).
On modular representations of Gal(/Q) arising from modular forms.
Modular elliptic curves and Fermat’s Last Theorem.
On The Modularity of elliptic curves over Q:WILD 3-ADIC EXERCISES.